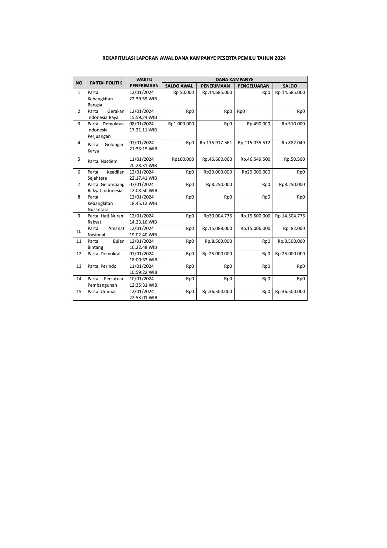
PENGUMUMAN HASIL PENERIMAAN LADK DAN LADK PERBAIKAN PESERTA PEMILIHAN UMUM TAHUN 2024
Berikut ini Pengumuman Hasil Penerimaan Laporan Awal Dana Kampanye dan Laporan Awal Dana Kampanye Perbaikan Peserta Pemilihan Umum Tahun 2024


Unduh File DISINI
Bagikan:
Dilihat 809 Kali.